| You have seen quite a few trigonometric identities in the past few pages. It is convenient to have a summary of them for reference. These identities mostly refer to one angle denoted θ, but there are some that involve two angles, and for those, the two angles are denoted α and β. |
| |
The more important identities.
You don’t have to know all the identities off the top of your head. But these you should. |
| |
 |
Defining relations for tangent, cotangent, secant, and cosecant in terms of sine and cosine. |
 |
The Pythagorean formula for sines and cosines.
This is probably the most important trig identity. |
 |
Identities expressing trig functions in terms of their complements.
There's not much to these. Each of the six trig functions is equal to its co-function evaluated at the complementary angle. |
 |
Periodicity of trig functions.
Sine, cosine, secant, and cosecant have period 2π while tangent and cotangent have period π. |
 |
Identities for negative angles.
Sine, tangent, cotangent, and cosecant are odd functions while cosine and secant are even functions. |
 |
Sum and difference formulas for sine and cosine. |
 |
Double angle formulas for sine and cosine.
Note that there are three forms for the double angle formula for cosine. You only need to know one, but be able to derive the other two from the Pythagorean formula. |
 |
| |
The less important identities.
You should know that there are these identities, but they are not as important as those mentioned above. They can all be derived from those above, but sometimes it takes a bit of work to do so. |
| |
 |
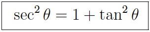
The Pythagorean formula for tangents and secants.
There’s also one for cotangents and cosecants, but as cotangents and cosecants are rarely needed, it’s unnecessary. |
 |
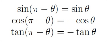
Identities expressing trig functions in terms of their supplements. |
 |
Sum, difference, and double angle formulas for tangent.
|
 |
The half angle formulas.
The ones for sine and cosine take the positive or negative square root depending on the quadrant of the angle θ/2. For example, if θ/2 is an acute angle, then the positive root would be used.
|
| |
Truly obscure identities.
These are just here for perversity. No, not really. They have some applications, but they’re usually narrow applications, and they could just as well be forgotten until needed.
|
| |
 |
Product-sum identities.
This group of identities allow you to change a sum or difference of sines or cosines into a product of sines and cosines.
|
 |
Product identities.
Aside: weirdly enough, these product identities were used before logarithms were invented in order to perform multiplication. Here’s how you could use the second one. If you want to multiply x times y, use a table to look up the angle α whose cosine is x and the angle β whose cosine is y. Look up the cosines of the sum α + β. and the difference α – β. Average those two cosines. You get the product xy! Three table look-ups, and computing a sum, a difference, and an average rather than one multiplication. Tycho Brahe (1546–1601), among others, used this algorithm known as prosthaphaeresis.
|
 |
Triple angle formulas.
You can easily reconstruct these from the addition and double angle formulas.
|
 |
More half-angle formulas.
These describe the basic trig functions in terms of the tangent of half the angle. These are used in calculus for a particular kind of substitution in integrals sometimes called the Weierstrass t-substitution.
|